
Product Description
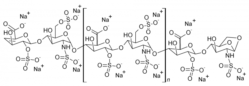
Enoxaparin sodium is the sodium salt of a low-molecular-mass heparin that is obtained by alkaline depolymerisation of the benzyl ester derivative of heparin from porcine intestinal mucosa. Enoxaparin sodium is an antithrombotic agent (ATC code B01AB05) characterized by a higher ratio of antithrombotic activity to anticoagulant activity compared to unfractionated heparin.
Enoxaparin sodium is intended for use in the treatment of deep vein thrombosis; prophylaxis of ischemic complications of unstable angina and non-Q-wave myocardial infarction, and treatment of acute deep vein thrombosis.
Hits: 【Print】
Pre:Heparin sodium Next:Allopurinol






